If you’re looking for free printable worksheets on multiplying polynomials, you’ve come to the right place. Multiplying polynomials can be tricky, but with the right resources, you can master this math skill in no time.
Whether you’re a student looking to practice or a teacher in need of supplementary materials, these worksheets are a valuable tool. They provide a hands-on way to reinforce your understanding of multiplying polynomials.
Free Printable Worksheets On Multiplying Polynomials
Free Printable Worksheets On Multiplying Polynomials
These worksheets cover a range of topics related to multiplying polynomials, including basic multiplication, multiplying binomials, and multiplying trinomials. Each worksheet is carefully designed to build upon the previous one, allowing you to progress at your own pace.
With these free printable worksheets, you can work through problems step-by-step, gaining confidence and proficiency along the way. Whether you’re just starting out or looking to sharpen your skills, these resources are a great way to enhance your understanding of multiplying polynomials.
So why wait? Start exploring these free printable worksheets on multiplying polynomials today and take your math skills to the next level. With practice and perseverance, you’ll be multiplying polynomials like a pro in no time!
Multiply Polynomials integer Coefficients Worksheet
Multiplying Polynomials Worksheets 2025
Multiplying Polynomials Notes And Worksheets Lindsay Bowden
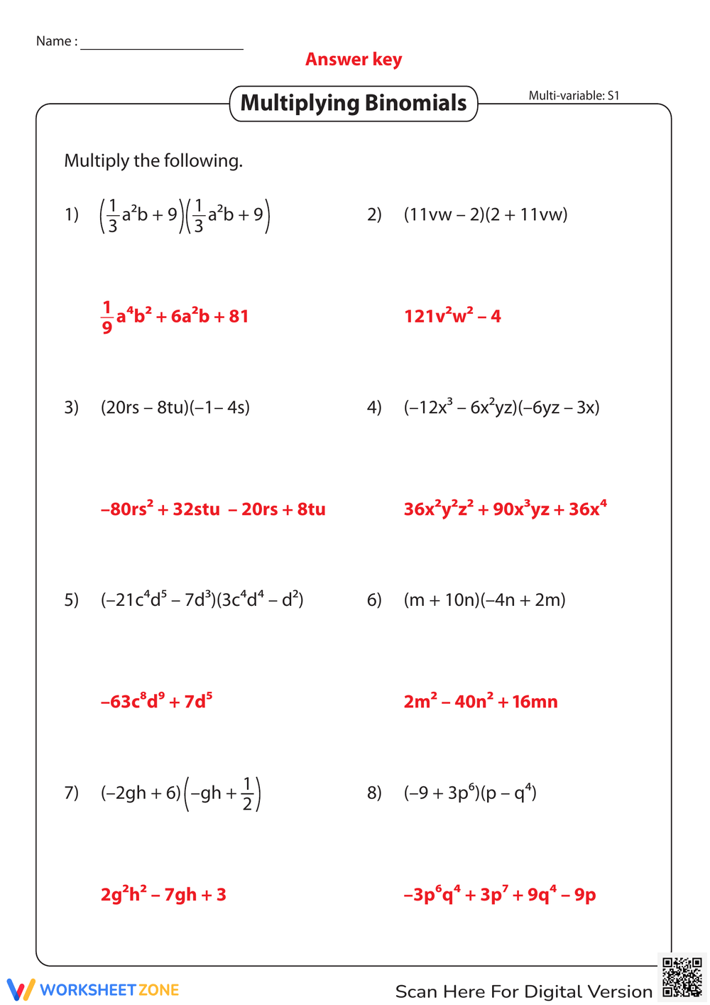
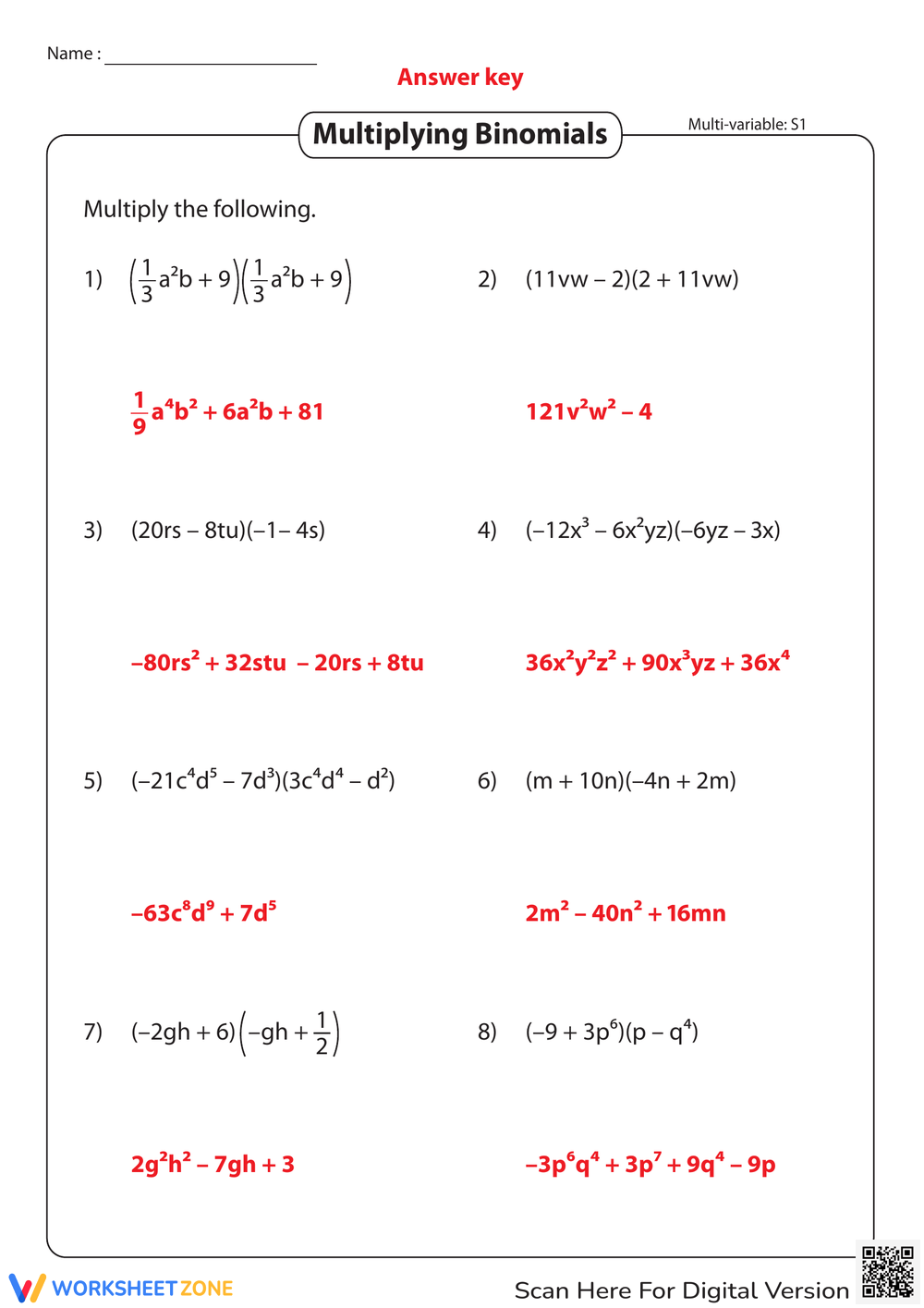
Multiplying Binomials Worksheets
Multiplying Polynomials Worksheets Printable With Answers Mashup





